RYIP在线题库
设为首页
|
加入收藏
习题
分类
状态
排名
RYIP竞赛
登录和注册
首 页
>
习题练习
> 提交
RYIP在线题库
题目分类
提交状态
做题排名
RYIP竞赛
Problem1076--简单的分段函数(一)
1076: 简单的分段函数(一)
[Creator :
]
Time Limit :
1.000
sec
Memory Limit :
128 MB
Solved: 137
Submit: 237
Statistics
【 Description 】
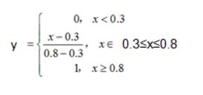
已知下面的分段函数,要求编一程序,输入 x ,输出相应的 y 的值。分段函数:
【 Input 】
仅一个double类型的数x
【 Output 】
一个double类型的数y
【 Sample Input 】
0.5
【 Sample Output 】
0.4
【 Source/Category 】
教学题